Seleziona una pagina
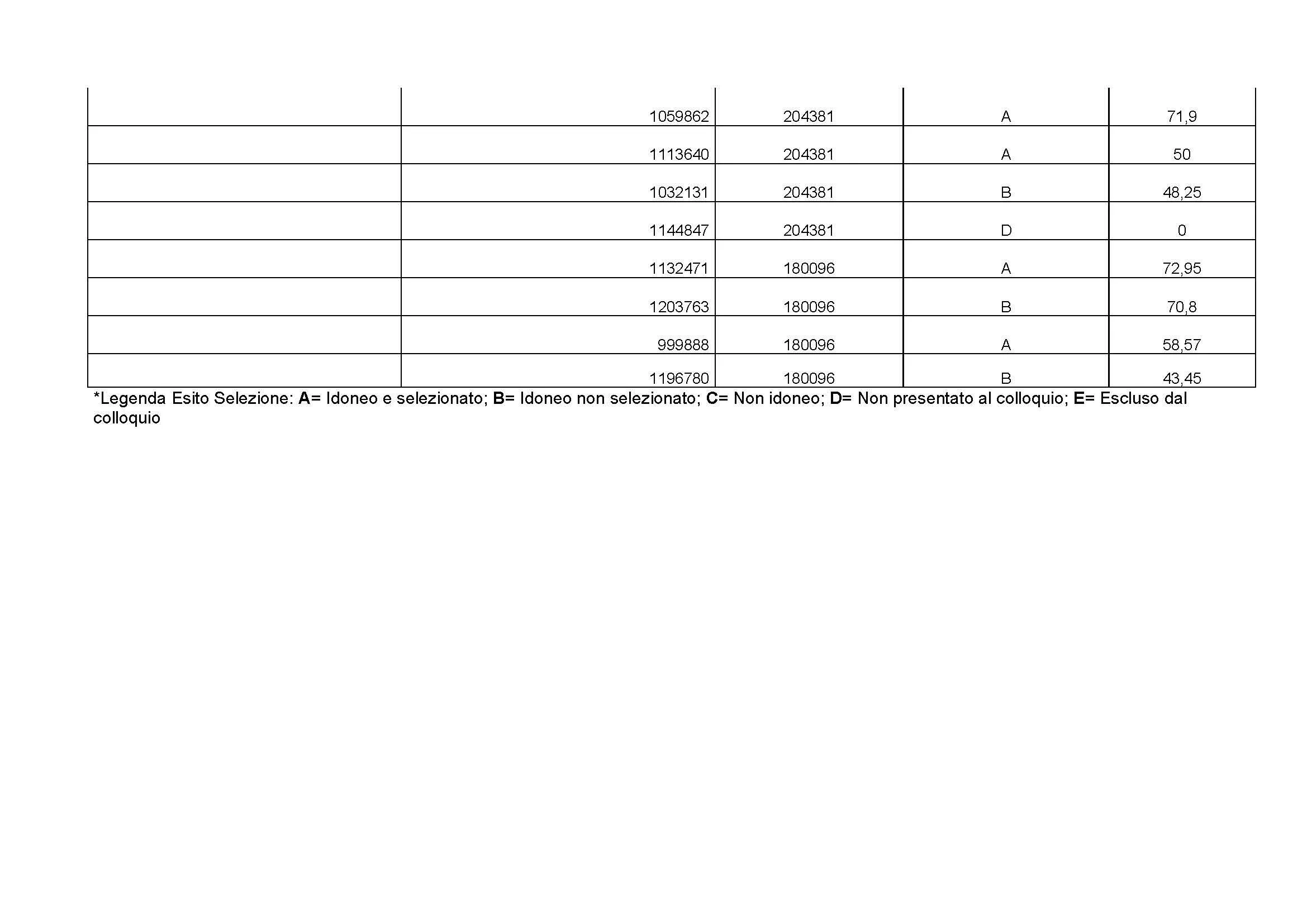
Si pubblica di seguito la graduatoria provvisoria del Progetto del Servizio Civile Universale “In cammino con gli ultimi Matera-Irsina”.
La graduatoria è ancora provvisoria poichè deve essere approvata dal Dipartimento per le Politiche Giovanili e il Servizio Civile Universale: sarà pubblicata quella definitiva appena il Dipartimento conferirà placet finale.